Из-за жары: в Харьковской области грузовикам запретили ездить в дневное время

В Харьковской области грузовикам запретили ездить в дневное время

В Харьковской области грузовикам запретили ездить в дневное время

Транспорт и инфраструктура
22 июня 2021 17:19

В Харьковской области действует сезонное ограничение движения для грузовиков при температуре воздуха выше 28°С. Об этом Vgorode сообщили в Службе автодорог в Харьковской области.

Напомним, ограничения ввели с 28 мая. Как объяснили в САД, при температуре выше + 28 градусов крупногабаритный транспорт разрушает дорожное покрытие.

Не забудьте подписаться на наш канал в Telegram

Фото: Служба автодорог в Харьковской областиФото: Служба автодорог в Харьковской области

Поэтому транспорту, который весит более 24 тонн и имеет нагрузку на ось более 7 тонн, разрешено движение только ночью и рано утром. С 10:00 и до 22:00 в дни, когда воздух прогревается свыше 28 градусов, водители грузовиков должны пережидать на площадках временной стоянки в полосах отвода автомобильных дорог и возле объектов дорожного сервиса. 

Фото: Служба автодорог в Харьковской областиФото: Служба автодорог в Харьковской области

Местоположение площадок для отстоя большегрузного транспорта можно найти на карте

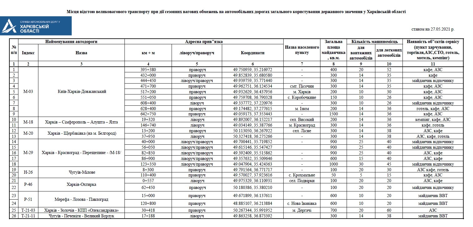
Также список стоянок в Харьковской области приведен в таблице:

Из-за жары: в Харьковской области грузовикам запретили ездить в дневное время фото 1Из-за жары: в Харьковской области грузовикам запретили ездить в дневное время фото 1

Смотрите также:

На несколько месяцев: в Харькове закрыли движение транспорта на крупном шоссе

Объезжай: улицу Культуры перекроют до 1 августа

Читай все новости Харькова в Facebook и подписывайся на нас в Instagram и Viber.

Это чат – пиши и читай 👇
Ого! ты доскролил до нашего чатбота 😏
Теперь у тебя есть возможность настроить его под себя и узнавать важный контент первым, чтобы рассказывать друзьям
Только почта, только хардкор 🤘
Мы в соцсетях