Из-за жары: в Харьковской области ограничили проезд грузовиков

В Харьковской области ограничили проезд грузовиков. Фото: kh.ukravtodor.gov.ua

В Харьковской области ограничили проезд грузовиков. Фото: kh.ukravtodor.gov.ua

Транспорт и инфраструктура
28 мая 2021 14:50

В Харьковской области с 28 мая в дневное время запрещено движение грузовиков весом более 24 тонн с нагрузкой на ось более семи тонн. Об этом сообщили в областной Службе автомобильных дорог.

В САД объясняют: при температуре выше + 28 градусов крупногабаритный транспорт разрушает дорожное покрытие. Ограничение для фур касается автомобильных дорог общего пользования государственного значения в дневное время (с 10:00 до 22:00).

Не забудьте подписаться на наш канал в Telegram

Фото: kh.ukravtodor.gov.uaФото: kh.ukravtodor.gov.ua

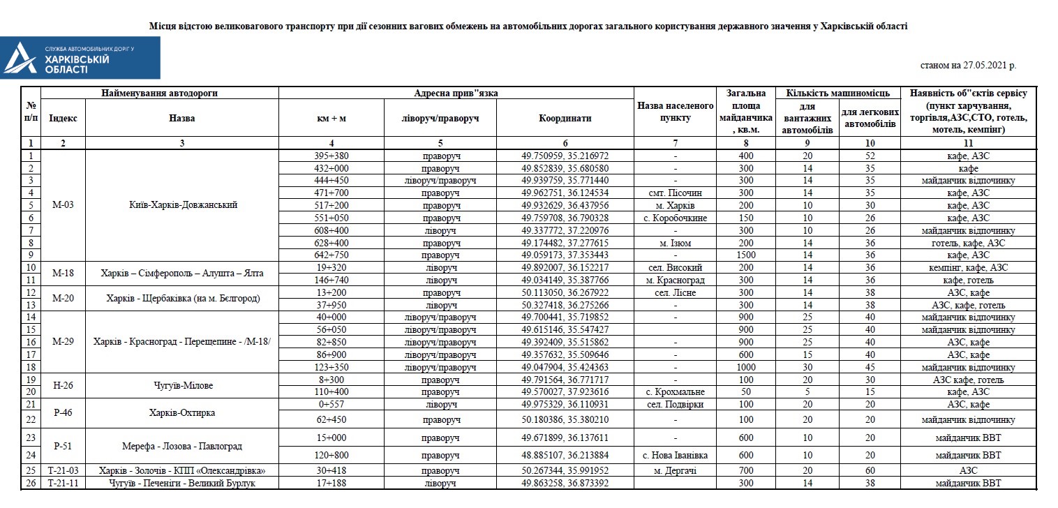
Водителям грузовиков, которым запрещено передвижение в дневное время, предлагают пережидать на стоянках, обозначенных на онлайн-карте.

Также список стоянок в Харьковской области приведен в таблице:

Инфографика: kh.ukravtodor.gov.uaИнфографика: kh.ukravtodor.gov.ua

"При введении временного ограничения движения подразделения патрульной полиции усилят контроль за соблюдением водителями правил дорожного движения", — сообщают дорожники.

По прогнозам синоптиков, на выходных в Харькове похолодает и начнутся дожди.

Смотрите также:

На три недели: улицу на Северной Салтовке закроют для транспорта

Как в саду Шевченко: во всех районах Харькова планируют строить многоярусные паркинги

Не жди на остановке: в Харькове временно не будет ходить троллейбус №46

Читай все новости Харькова в Facebook и подписывайся на нас в Instagram и Viber.

Это чат – пиши и читай 👇
Ого! ты доскролил до нашего чатбота 😏
Теперь у тебя есть возможность настроить его под себя и узнавать важный контент первым, чтобы рассказывать друзьям
Только почта, только хардкор 🤘
Мы в соцсетях